OIML BULLETIN - VOLUME LXVI - NUMBER 3 - July 2025
e v o l u t i o n
Digital transformation attempts in daily work of OIML-CS:
Remote Testing Laboratory
YANG Ping1, CAI Changqing1, WANG Jian1, LI Xiaomeng1, ZHONG Ruilin1, WANG Xiaolei1, ZHUO Chengshi2
1. NIM , Beijing, P.R. China
2. Mettler-Toledo (Changzhou) Measurement Technology Co., Ltd. , Jiangsu 213125, China
Citation: Yang Ping et al. 2025 OIML Bulletin LXVI(3) 20250302
Abstract
A novel OIML R 76 remote testing system based on the integration of robotic and network information technologies is introduced. This system comprises an OIML R 76 Automated Testing Device installed at the manufacturer's testing site, a Remote Data Transfer Module for remote data transmission, and a Report Generation Module situated in the OIML laboratory for receiving and processing test data. The system enables remote OIML tests of non-automatic weighing instruments within the range of 3 kg to 150 kg. To verify the reliability and effectiveness of this remote testing system, validation tests were conducted. The test results conclusively demonstrate that the normalized deviations (En) between this system and traditional testing method are all less than 1 at various load points, indicating the system adheres to OIML R 76 testing requirements and provides technical support for the digital transformation in the field of international legal metrology.
1. Introduction
In the era of global digital transformation, the metrology academic community has broadly agreed that digital technologies can be used to enable remote testing and verification. Furthermore, these technologies are expected to facilitate the development of innovative service models within the field of international legal metrology [1]. One of the core objectives of the International Organization of Legal Metrology Certification System (OIML-CS) is to reduce the development costs of measuring instruments through the application of digital technologies, shorten the time-to-market for innovative products and services, and enhance the quality and efficiency of legal metrology services [2, 3, 4, 5, 6]. In 2021, OIML established the Digitalization Task Group (DTG) to organize and conduct research on digital transformation, thereby supporting the digitalization of legal metrology processes and services [7]. The National Institute of Metrology, China (NIM) places significant emphasis on and actively engages in the work of the DTG. With strong support from the State Administration for Market Regulation of China (SAMR), it has undertaken pilot research and development initiatives.
Currently, within the framework of OIML-CS, there are three types of laboratories: internal Test Laboratory, third-party Test Laboratory and Manufacturer’s Test Laboratory (MTL). MTL is designated by an OIML Issuing Authority, and registered in the Declaration, that performs specific tests under controlled supervision or as a third-party laboratory of an OIML Issuing Authority [8]. Since MTL not only produce measuring instruments but also undertakes OIML tests, some Utilizers and Associates are concerned about the impartiality of the test data provided by MTL. However, it is undeniable that MTL does have certain advantages in improving testing efficiency, accelerating the OIML certification process, and reducing the cost of tests for measuring instrument because of the elimination of the need for sending measuring instruments samples and certain procedures. In light of these considerations and in alignment with the global trend toward digital transformation, NIM has proposed the concepts of "OIML Remote Test" and "Remote Test Laboratory (RTL)". By moving the testing location to the manufacturer's facilities while enabling remote control, RTL not only fulfills the cost-saving requirements of MTLs but also effectively alleviates concerns about impartiality. This is an ideal combination of OIML Test laboratory (TL) and MTL, and also a compromise solution between OIML TL and MTL.
In order to realize the OIML remote laboratory, NIM and Mettler-Toledo Ltd. jointly developed a novel OIML
2. OIML R 76 Remote Testing System
2.1 System Architecture

Figure 1. Schematic Diagram of the OIML R76 Remote Testing System
Figure 1 illustrates the structural schematic of the OIML R 76 remote testing system, which consists of three components:
- OIML R 76 Automated Testing Device. It is installed at the manufacturer's testing site. This device adopts robot technology to simulate the manual test procedures and can realize the OIML R 76 tests such as weighing performance, eccentricity, repeatability, zero return, creep, tare and warm-up time tests of OIML R 76 for normal condition test.
- The Remote Data Transfer Module, controlled by NIM, is installed at the manufacturer's testing site and is responsible for the real-time acquisition of test data as well as their upload to the NIM-Test Data Monitoring System developed by NIM.
- Report Generation Module. Once the local control terminal of the OIML Test laboratory safely downloads data from the NIM-Test Data Monitoring System, the OIML test report is automatically generated.
2.2 Test Process of RTL

Figure 2. Flowchart of OIML Remote Test
The specific implementation process of the OIML R 76 remote testing system is as follows:
- After submitting the OIML test application, the manufacturer can choose to conduct the test through the remote test system if it meets the requirements for remote testing. There is no need to send the sample machine to OIML TL.
- The RTL on-site personnel will properly install the Equipment under Test (EUT) onto the test station. Only after the remote confirmation of the installation status of the EUT by the OIML laboratory can the on-site personnel start the test.
- The automated testing device automatically conducts tests in accordance with the relevant procedures specified in OIML R 76, while simultaneously collecting, calculating, and processing original data in real time. Throughout the process, no human intervention is required.
- When test is completed, all the test data will be automatically encrypted, packaged, and uploaded to the NIM Test Data Monitoring Platform via the processing server.
- Once the local control terminal of the OIML laboratory safely downloads data from the NIM Test Data Monitoring System, the OIML test report is automatically generated.


Figure 3: OIML R 76 Automated Testing Device
2.3 The Architectural Design of the OIML R 76 Remote Testing System
To meet the requirements of OIML R 76 and enable continuous testing of multiple EUT models, the design of the automated test device for OIML R 76 is focused on the development and optimization of key components (as shown in Figure 3).
- Actuator: It is used to realize functions such as loading and unloading of weights, visual recognition and height measurement. To cover the weighing range from 3 kg to 150 kg for non-automatic weighing instrument, the system selected a six-degree-of-freedom industrial robot with a maximum load capacity of 40 kg, enabling a maximum single loading is up to 30 kg. The positioning repeatability of this robot is 0.06 mm and its positioning accuracy is 0.02 mm. Furthermore, to meet the requirements of various tests such as discrimination, two loading mechanisms were designed in the end effector of the robot to accommodate the clamping of weights of different masses and shapes.
- Standard: These are used to store various types of weights with different specifications required for OIML tests. The system is equipped with weights of class F2. All the weights have been calibrated by the OIML laboratory of NIM, meeting the requirements of OIML R 111 and ensuring the metrological traceability of the test [11] Through optimized design, this set of weights can be freely combined in different specifications to match load points that meet the requirements of OIML R 76 tests.
- Specialized Test Platform: It is used to place the EUT. The entire system is equipped with ten test surfaces. The test surface is made of phenolic plastic, which has high mechanical strength, good insulation, heat resistance and corrosion resistance.
- Lift and Tilt Platform: Serving as a test workstation, the platform can be securely fixed in the testing position via four rotating cylinders. Additionally, the workstation is equipped with tilt control mechanisms and tilt sensors, enabling both lateral and longitudinal tilting of the platform through the extension and retraction of electric cylinders.
- Chain Drive Component: It is used to drive the test platform, enabling it to successively convey to the test workstation.
- Remote Data Transfer Module: it is responsible for the real-time acquisition of test data as well as their upload to the NIM-Test Data Monitoring System developed by NIM.
2.4 NIM-Test Data Monitoring System
In the OIML remote testing process, ensuring data accuracy and securing data transmission are fundamental to meeting the core requirements of the test. Consequently, NIM independently developed the "NIM-Test Data Monitoring System". This system was designed and implemented by the NIM's specialized technical team dedicated to data security. Its primary objective is to provide laboratories and clients with a secure, reliable, and efficient platform for metrological data transmission and management.
Figure 4. The login interface and working interface of the NIM-Test Data Monitoring System.
This system ensures data security during uploading, transmission, and storage through advanced encryption technology. Meanwhile, by managing the permissions of users at various levels, it enables efficient collaboration between the laboratory and clients, effectively preventing unauthorized access and data leakage risks. In addition to supporting the upload of original test data, this system also supports uploading data in image and video formats. It allows for the uploading of monitoring screens and screenshots captured during the testing process, which can serve as auxiliary records and validation references for the test process. All these measures not only enable real-time monitoring and management of the entire process of OIML test, but also ensure the accuracy and integrity of the test data. At the same time, they significantly enhance the transparency and traceability of the OIML Test.
3. Validation of the remote testing data
To evaluate the accuracy and reliability of the remote testing system, NIM, the OIML test laboratory, selected a non-automatic weighing instrument with an accuracy class of
for validation. Its specifications were: maximum capacity (Max) is 3 kg, minimum capacity (Min) is 10 g, verification scale interval (e) is 0.5 g, actual scale interval (d) is 0.5 g and test resolution (dr) is 0.05 g.
The validation was conducted using the following two methods:
- Method 1: Tests were performed by OIML laboratory personnel, with data recorded manually like a traditional OIML test.
- Method 2: Tests were fully conducted by the remote testing system, with data automatically collected and uploaded to the NIM-Test Data Monitoring System.
3.1 Weighing Performance Test
Figure 5 presents the results of weighing performance test. Corrected errors Ec1 and Ec2 correspond to results obtained from Method 1 and 2, respectively. Upon detailed comparison, the test results obtained from Method 1 and Method 2 demonstrate a high degree of consistency and proximity, although the test methods and the way of data transmission are different. Furthermore, the differences between the two testing methods at all load points did not exceed one test resolution. The variations in operation methods and testing procedures were found to have negligible impact on the test results. Additionally, the operational procedures of the remote testing system comply with OIML R 76 requirements, and the data acquisition and transmission processes are accurate and reliable. Based on these findings, it can be concluded that the remote testing method is fully capable of replacing the traditional manual testing method.

Figure 5. Verification Results of Weighing Performance Test
3.2 Repeatability Test
Table 1 lists the relevant test data of repeatability test, where I1 an I2 correspond to the indication values obtained at test loads of 1/2Max and Max. Statistical analysis of the repeatability test data demonstrates that the testing conclusions are consistent between the two methods, with the standard deviations of ten loading cycles showing statistically equivalent values. Based on these findings, it can be reasonably concluded that compared with traditional test method, the remote testing system, which benefit from the robotic system’s superior motion control precision and standardized processes, maintains equivalent determination accuracy to conventional method while achieving repeatability performance that is no less than that of traditional manual testing.Table 1. Repeatability Test Data in kg

3.3 Uncertainty and Data Analysis
To further validate the consistency between remote testing and manual testing, an uncertainty analysis was performed based on the weighing performance test data. The normalized deviation (En value) was used to evaluate the differences between the two methods [12, 13].
The error E for the indication of a non-automatic weighing instrument is given by

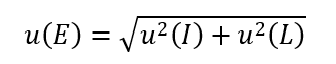
Based on the measurement uncertainty calculation model, The measurement uncertainty of the indication error u(E) is expressed as [14, 15]:



where E is error for the indication; I is the indication value; L is the test load mass; u(I) is the uncertainty introduced by the indication value; u (L) is the uncertainty introduced by the test load; u(δI0) and u(δIdigL) are the standard uncertainties introduced by the rounding errors of the unloaded and loaded indications, respectively; u(δIrep) is the standard uncertainty introduced by repeatability; u(δIecc) is the standard uncertainty introduced by eccentricity; u(δmc) is the standard uncertainty of the reference weights; u(δmB) is the standard uncertainty introduced by air buoyancy correction of the weights; u(δmD) is the standard uncertainty introduced by mass drift of the weights; u(δmconv)is the uncertainty introduced by the temperature difference between the weights and the test environment [16]. Since the weights had stabilized in the laboratory environment for a sufficient time before testing
The individual uncertainty components are calculated using the following formulas.

dr is the test resolution, here dr = 0.05 g.

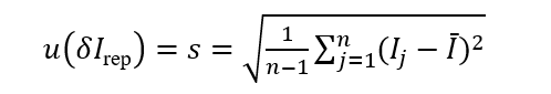
The standard uncertainty due to repeatability u(δIrep) is calculated as the standard deviation. Here, u(δIrep) is calculated based on the repeatability test results on the 1/2Max load point from Table 1.

where
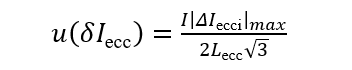
. IL1 is the indication value when the load is placed at the center of the load receptor, and ILi (i=2,3,4,5) are the indication values when the load is placed at the other four regions of the load receptor during the eccentricity test. Lecc is the indication value and corresponding load value during the eccentricity test.



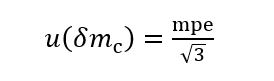
During the test, only the nominal values of the weights (F2 class) are used. Since the robotic system employs a combination of weights for step-by-step loading, it is important to note that u(δmc) is the arithmetic sum of the standard uncertainties of each individual weight.
The specific weighing test data and measurement uncertainty analysis data are presented in Table 2, with a coverage factor of k = 2.
Table 2 Test Data and Measurement Uncertainty Analysis

According to the formula

En was calculated for each test load point and the values are presented in Table 3.
Table 3. En Value at Each Test Load

Table 3 shows that En was less than 1 for all test load points. This indicates that the measurement results from method 2, i.e., the remote testing system, show no significant difference compared to conventional testing methods, demonstrating that it is satisfactory and acceptable to conduct OIML R 76 test using this remote testing system.
Conclusion
Through methodical design, continuous research, and painstaking execution, the OIML R 76 remote testing system is capable of conducting remote tests for non-automatic weighing instruments within the range of 3 kg to 150 kg, including weighing performance, eccentricity, repeatability, zero return, and creep tests in normal conditions. Validation results demonstrate that the En values between this system and manual testing at various test load points are all less than 1, fully complying with the testing requirements of OIML R 76. Furthermore, through the calibration traceability of test weights and real-time encrypted and reliable data transmission, the system meets the requirements of ISO/IEC 17025. The RTL can be regarded as a balanced solution between MTL and TL that leverages digital technology to ensure impartiality, enhance the efficiency of OIML certification, and shorten the product launch cycle. Currently, NIM is developing other functionalities such as OIML R 76 remote temperature testing and is working to extend the application of this remote system to the full process of OIML R 76 tests. In the future, based on this remote testing system, the research team plans to develop a data processing system capable of automatically generating OIML test reports, which is applicable to the machine-readable OIML standards and thereby further advancing the digital transformation of legal metrology within the OIML framework.
References
[1] S, Eichstädt, and Yang Ping, 2024, The future of the OIML in the digital era (OIML Seminar), OIML Bulletin LXV(1), 10-16
[2] OIML. Digital Transformation in Legal Metrology [EB/OL]. [2025-04-28]. https://www.oiml.org/en/news-meetings/oiml-seminars/digital-transformation
[3] Thiel F., 2021, Digital Transformation in Legal Metrology, OIML Bulletin 62(3), 3
[4] Barbosa C R H, Sousa M C, Almeida M F L, et al., 2022, Smart manufacturing and digitalization of metrology: a systematic literature review and a research agenda[J]. Sensors 22(16), 6114
[5] Hu Bo, 2023, A Review of Advances in Research and Practice of Metrology Digitalization, Metrology Science and Technology 67(5), 39-44
[6] Hogail A. and Abdellatif R., 2024, The New Era of Metrology and Its Role in Information Technology: A Survey, Journal of Measurement Science and Applications 4(1), 32-65
[7] Digitalization Task Group [EB/OL].[2025-01-20] https://www.oiml.org/en/structure/digitalisation-task-group
[8] OIML B 18:2022, Framework for the OIML Certification System
[9] Eichstädt S., 2022, Digital Transformation in the Quality Infrastructure – Challenges and Opportunities, OIML Bulletin 63(3), 21-24
[10] Eichstädt S, Keidel A., Tesch J., 2021, Metrology for the digital age, Measurement: Sensors, 18, 100232
[11] ISO/IEC 17025:2017, General requirements for the competence of testing and calibration laboratories
[12] GB/T 28043:2019, Statistical methods for use in proficiency testing by interlaboratory comparison
[13] Su Y, Wang Y, Xiong Z Q, et al. Research on Volume Determination Method of Double Weighing in Air[J]. Acta Metrologica Sinica,2020,41(12):1500-1504
[14] Guidelines on the Calibration of Non-Automatic Weighing Instruments: EURAMET cg-18 [S]. Germany, 2015.
[15] JJF 1847:2020, Calibration Specification for Electronic Balances, State Administration for Market Regulation, Standards Press China, Beijing
[16] Cai Changqing, Wang Jian, Chen Hanghang et al., 2021, Measurement Uncertainty Evaluation of Non-Automatic Weighing Instrument and its Application in Conformity Assessment, Acta Metrologica Sinica 42(1), 59-65
